西安交大科研人员在铁电储能薄膜电容器领域取得重要进展
日期:2018-07-16 点击数: 来源:
来源:交大新闻网
随着人类对可再生能源需求的日益增长,能源存储技术面临着更大挑战。在众多能源存储器件中,铁电储能薄膜电容器不仅具有高的功率密度、快的充放电速度,且满足了器件微型化的发展趋势,逐渐成为储能器件领域的一大热点。在介电储能电容器中,储能密度、储能效率以及温度稳定性是表征其储能特性的三个重要参数。如何制备出具有高储能密度和优异宽温热稳定性的铁电储能薄膜电容器成为目前研究的一个瓶颈及需要攻克的难点。

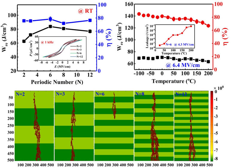
近日,西安交通大学贾春林科学家工作室通过选取同一体系不同组分的BaZr0.15Ti0.85O3和BaZr0.35Ti0.65O3材料,利用射频磁控溅射技术生长出了具有高能量存储密度的BaZr0.15Ti0.85O3//BaZr0.35Ti0.65O3多层膜。通过改变BaZr0.15Ti0.85O3//BaZr0.35Ti0.65O3多层膜的周期数即提高界面数,使界面作为电树枝发展阻碍的方式,提高了外延BaZr0.15Ti0.85O3//BaZr0.35Ti0.65O3多层膜的击穿场强,并在周期数为6时获得了优异的储能密度。同时在-100oC~200oC温区内,该多层薄膜表现出优异的宽温稳定性。该项研究结果对优化多层膜的界面数来提高铁电薄膜的储能特性具有指导性意义。
上述研究成果以题目“Significantly enhanced energy storage density with superior thermal stability by optimizing Ba(Zr0.15Ti0.85)O3/Ba(Zr0.35Ti0.65)O3multilayer structure”发表在权威期刊Nano Energy(IF=13.12)上。该工作是电信学院微电子学院范巧兰博士生在刘明副教授和马春蕊副教授的共同指导下完成的,参与该工作的还有微电子学院贾春林教授、路璐高级工程师和前沿院娄晓杰教授。西安交通大学为第一作者和通讯作者单位,德国于利希研究所为合作单位。
该研究得到国家自然科学基金重大专项与面上项目及青年项目、国家“973”项目、博士后基金、国家基础研究发展计划及中央高校基本科研业务费等的支持。
论文链接:https://doi.org/10.1016/j.nanoen.2018.07.007
【关闭】