当前位置: 首页 > 新闻动态 > 正文

首页

新闻动态

微电子学院研究成果入选2018 IEEE 亚洲固态电路(A-SSCC)会议
日期:2018-11-09    点击数:    来源:

11月5~7日,IEEE亚洲固态电路会议(IEEE A-SSCC)在台湾省台南市隆重举行。近年来,亚洲各国已成为集成电路设计、制造和应用成长幅度最大的区域。在此背景下,兼具学术与产业影响力的A-SSCC已成为全球芯片设计领域的重要国际会议。自开办以来,A-SSCC已成功举办14届,为全球集成电路设计领域学术和产业的发展起到了重要的推动作用

今年A-SSCC的主题是“Silicon Enabling Mobile Intelligence”,来自全球18个国家的集成电路设计领域专家和学者参加了本次会议。台湾台积电业务开发副总经理张晓强、韩国三星资深副总裁Nam Sung Kim、日本DOCOMO Tech总裁Seizo ONOE和中国紫光集团首席科学家&资深副总裁Yi Kang分别作了题为“Circuit Design in Nano-Scale CMOS Technologies”、“Open the New World of 5G”、“Practical Challenges in Supporting Functions in Memory和“AI Drive Domain Specific Processor”的特邀报告,深入讨论了集成电路未来发展趋势以及5G和AI等新兴领域集成电路的设计和应用前景。

科技论文方面,本次大会延续了历届A-SSCC遴选论文高标准的传统。本次大会投稿213篇仅录用86篇录取率为40.4%录用论文总数排名5的国家和地区分为:日本17篇中国台湾(17篇、中国大陆(13篇美国12)篇、韩国10)篇。

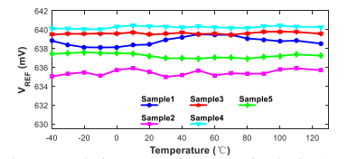
西安交通大学微电子学院本次有1篇论文入选A-SSCC,题目A 1-V 3.1-ppm/°C 0.8-µW Bandgap Reference with Piecewise Exponential Curvature Compensation”,作者为罗红瑞(硕士生孙权(博士生张瑞智(副教授张鸿(副教授)。论文报道了一款高精度(温漂仅为3.1ppm/℃)的带隙基准集成电路在其设计中提出了创新的分段指数曲率补偿方法,以得到超低温度系数。芯片基于180nm、1P4M标准CMOS工艺设计制造,核心面积为0.115 mm2,功耗仅为0.8μW。

   

芯片显微照片

   

温度系数测试曲线

 

   

罗红瑞A-SSCC 2018 模拟IC分会上做口头报告

   

 

西安交大参会代表合影

关闭